Největším hráčům českého stavebního trhu se v minulém roce dařilo jak v oblasti tržeb, tak i z hlediska hospodářských výsledků. Obraty i zisky firem v posledním roce rostly a podle všech předpokladů bude tento pozitivní vývoj pokračovat i v letošním roce. Do žebříčků největších stavebních firem za rok 2018 jsme zařadili 143 podniků s tržbami nad 149 milionů korun a 52 výrobců stavebních hmot s obratem nad 270 milionů korun.
![]()
Ekonomická data pro pravidelnou ročenku časopisu Stavitel – Časopis českého stavebnictví – již deset let připravuje mezinárodní hospodářská databanka Creditreform.
Creditreform je mezinárodní skupinou poskytující svým zákazníkům hospodářské informace, poskytuje služby inkasa pohledávek a také další služby v oblasti řízení finančních rizik. Creditreform je přímo zastoupen ve 23 evropských zemích a v Číně prostřednictvím 162 poboček a zaměstnává více než 4.000 pracovníků. Na portálu www.e-creditreform.cz nabízí firemní databázi s téměř 88 miliony firemních informací a uživatelé portálu tak mohou získat údaje o podniku z jakékoliv země světa.
Obrat přes 200 miliard
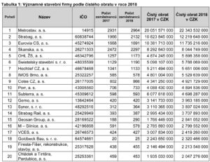
Významné české stavební firmy zařazené do letošního srovnání dosáhly v minulém roce celkového obratu ve výši 200,8 miliard Kč. To je růst oproti roku 2017 o více než 9,4 %, kdy stejná skupina firem utržila 183,4 miliard korun. Významně se pak zvýšila jejich profitabilita. Po letech stagnujících či klesajících zisků největší stavební firmy docílily v roce 2018 celkového zisku před zdaněním 5,69 mld. Kč, kdežto o rok dříve činil jejich zisk 4,04 mld. Kč.
Hrubý zisk tak největším stavebním firmám rostl o 40 %. Podobného růstu zisku dosáhla tato množina podniků naposledy v letech 2015/2016 (cca + 30 %), v loňském srovnání naopak zisky klesly o 12 %. K vyšší rentabilitě jistě pomohlo i velmi střídmé zvýšení počtu zaměstnanců, a sice o pouhé 1 %. V roce 2018 významné stavební firmy evidovaly celkem 36 277 zaměstnanců, což je nárůst o 320 osob oproti roku 2017 (celkem 35 957 zaměstnanců). Svědčí to o době nastavených výrobních procesech největších stavbařů, kteří byli schopni v téměř stejném personálním obsazení vygenerovat vyšší tržby, ale zejména znatelně zvýšit svou ziskovost.
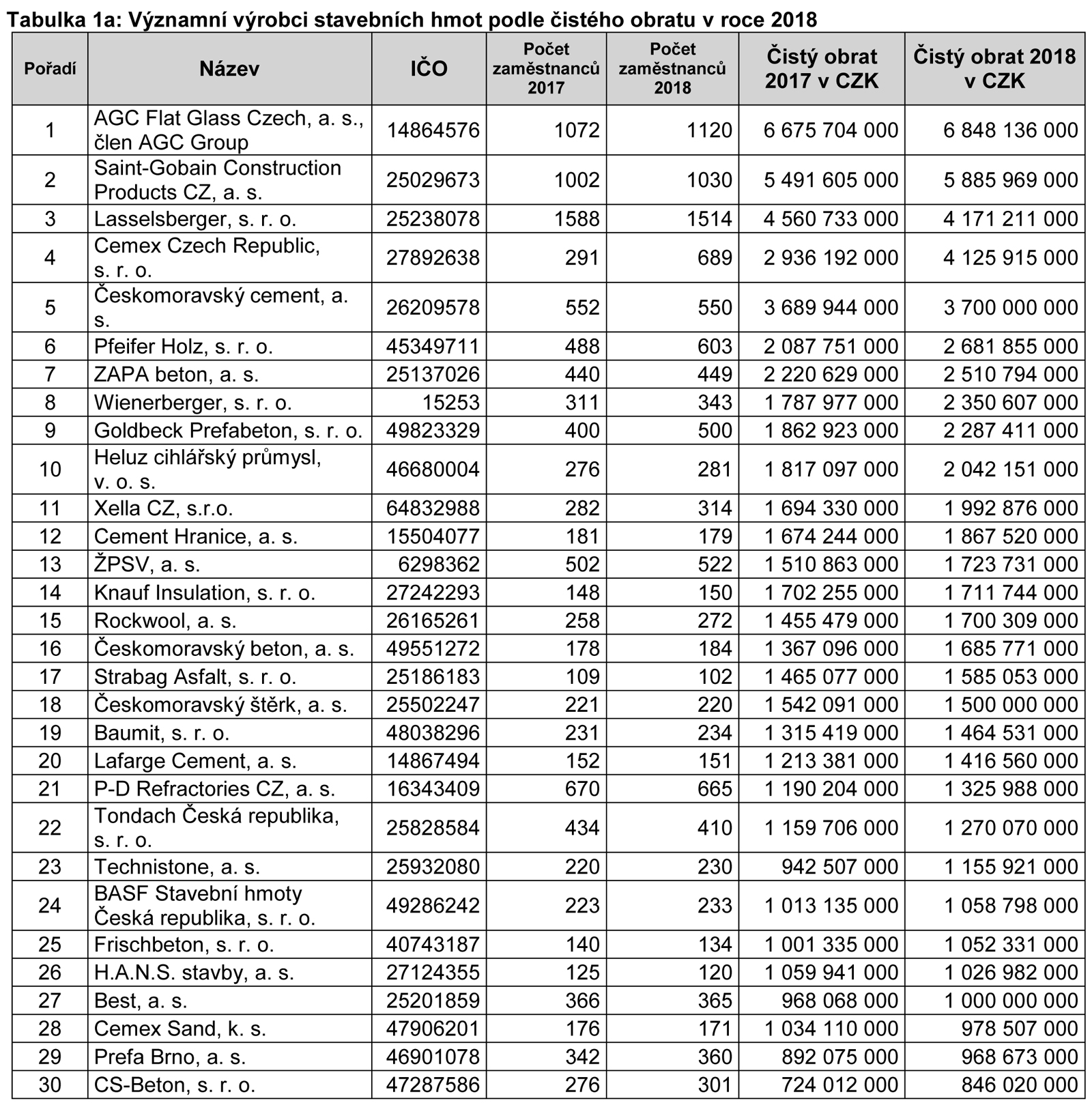
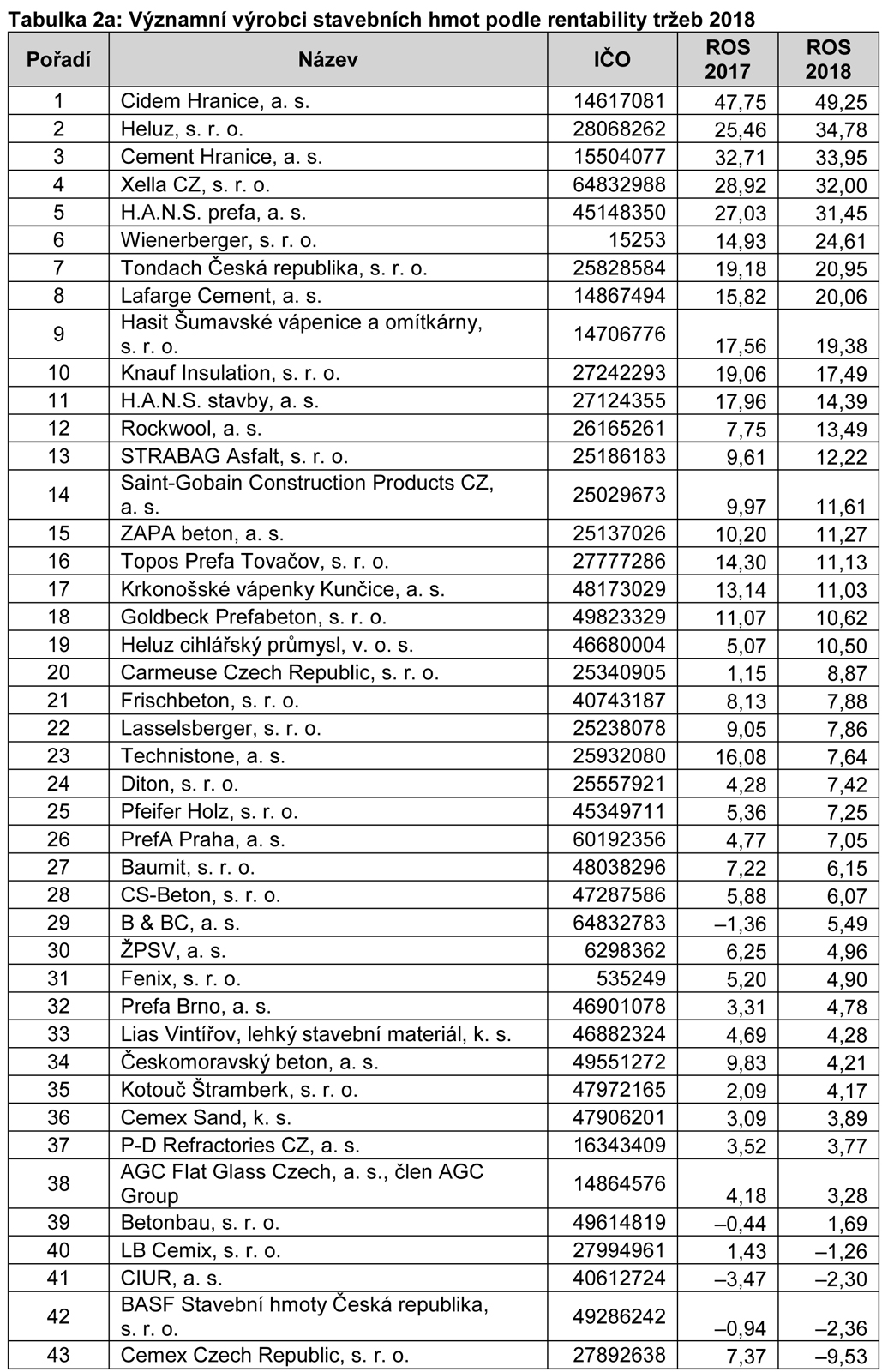
Výrobci stavebních hmot díky zvýšené poptávce na trhu utržili za rok celkem 75,58 miliard Kč, tedy o 9,6 % více, než stejná skupina firem v roce 2017 (celkem 68,97 mld. Kč). Rentabilita jejich tržeb je dlouhodobě na velmi dobré úrovni a také v roce 2018 překonali rok předešlý. V roce 2018 činil jejich kumulovaný hrubý zisk 6,79 miliard Kč, a to znamenalo nárůst o 10,5 % oproti roku 2017, kdy tato skupina dosáhla zisku 6,15 mld. Kč.
Bankroty velkých stavebních firem
Ani dobrý vývoj na stavebním trhu však neznamená automatický úspěch a za minulý rok jsme zaznamenali také krachy významných firem v tomto sektoru. Insolvenční návrh z listopadu 2018 na společnost PSJ, a.s., IČ 25337220, skončil prohlášením úpadku společnosti dne 6. 12 .2018. Tato firma dosáhla ještě v roce 2016 na tržby ve výši necelých 3 miliard Kč. Dalším velkým hráčem v tomto oboru, který podlehl tržním rizikům spojeným se zahraničními projekty, je společnost EUCIA CZ, a.s., IČ 13694341 (dříve PSG-International a.s.), která sama na sebe podala v prosinci 2018 insolvenční návrh a v průběhu letošního roku byla schválena reorganizace podniku.
Jiří Kučera
Přinášíme „ochutnávku“ z tabulek, tak jak vyšly v říjnové příloze časopisu STAVITEL a připravila je databanka Creditreform:











